欢迎来到买化塑

先登录再浏览,享受更多权益

登录 免费注册

高效流平剂的开发及应用

贺茂南、朱贤锋、鲍欣豪

宁波维楷化学工程技术中心

摘要:本文采用多种单体进行溶液聚合制备新型流平助剂,在粉末涂料应用测试表明:0.6%新型流平剂可达到1%通用型流平剂WL588的表面效果,同比性能达到国外流平剂效果。

关键词: 丙烯酸单体  溶液聚合  粉末涂料应用

0.前言

材料、能源、信息作为现代人类文明的三大支柱,推动着社会高速发展。近几十年来,新技术、新材料层出不穷,使得各行业发生了许多革命性的变化,粉末涂料作为最近几十年才发展起来的新型涂装材料,以其优异的性能和环保性,引发了涂装行业的一次革命,自粉末涂料诞生到现在一直处于高速发展阶段。

流平剂是粉末涂料中用量最多的助剂,其常见类型是丙烯酸酯均聚物(也叫“液流”)。流平剂在粉末涂料中可以起到以下几个方面的作用:

1)降低粉末涂料的熔融黏度,增加涂料熔融状态时的流动性;

2)使涂层表面张力更加均匀,缓解了“贝纳德旋涡”产生,减少橘皮的产生;

3)减少熔融涂料与基材(以及填料)之间的界面张力,增加对基材(以及填料)的润湿性,从而降低缩孔产生的可能性,从而使涂层获得较好的平整度。

本产品采用多种单体进行溶液聚合,之后可以采用两种方式制备固体流平剂:

① 用二氧化硅吸附;

② 在反应釜中与树脂增光剂一起融合。

其特点体现在:

1)同比应用效果,流平剂添加量可以更省;

2)采用第二种方式得到的产品更环保:无二硅吸附,不会再次产生粉尘,而且二氧化硅对粉末涂料有一定的副作用,吸油量高,影响流平效果;客户端使用更为方便,流平剂、增光剂投一次就够;

3)具有更优的鲜映性。 

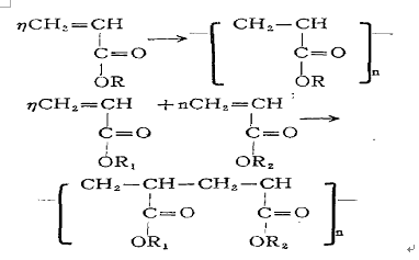
1.实验部分

丙烯酸酯的聚合采用溶液聚合,即单体和聚合物都溶于溶剂中。聚合体系由单体、引发剂、溶剂三部分组成。一般用甲二甲苯为溶剂,偶氮二异丁腈或过氧化二苯甲酰为引发剂,反应结束后真空脱除溶剂,得到粘稠的液态丙烯酸酯聚合物。

    聚丙烯酸酯流平剂及增光剂反应通式:

1.png

 

2.单体各参数简述

用做粉末涂料流平剂的聚丙烯酸酯,在常温下大多是液态的,而增光剂在常温下基本都是固态,其中硬单体含量较多,将两者结合在一块时,对软硬单体的玻璃化温度都有一定的选择性。不同单体的玻璃化温度及其他指标如表1所示。

2.png

3.单体、溶剂、引发剂对流平剂质量的影响

聚丙烯酸酯流平剂的玻璃化温度与酯中醇基的特性有关,并且侧链越长越软。这种关系仅适合于8个以下的原子,超过8个碳原子后则碳链越长,玻璃化温度越高。随着高玻璃化温度的单体量增加,聚合物的玻璃化温度就会显著上升。

溶剂的作用表现为:控制引发剂的分介作用、链转移作用、控制生长链的构型(蜷曲、舒张)及粘度。最终影响链终止速度、分子量及其分布。

偶氮二异丁腈或过氧化二苯甲酰在受热的情况下发生键的断裂,产生游离基而使单体发生聚合。

偶氮分子结构及引发性能如下所示:

3.png

过氧化二苯甲酰:用作分析试剂、氧化剂、漂白剂及高分子聚合引发剂 白色结晶,溶于苯、氯仿、乙醚、丙酮、二硫化碳,微溶于水和乙醇。性质极不稳定,摩擦、撞击、遇明光、高温、硫及还原剂,均有引起爆炸的危险。储存时应注入25-30%的水。最早生产液流用它较多,现基本换成安全性能更好的“偶氮”。

4.不同单体合成的流平剂数据


4.png


5.流平剂应用配方及数据

5.png

            6.png

选取宁波维楷化学通用型流平剂WL588,与新型高效流平剂做应用比较。

注:

(1)光泽仪:60°测定;

(2)表面等级采用1-10进行评判,10为最优。


6.相容性测试数据


7.png

8.png


7.数据汇总分析       

1.通过表4数据可以看出,流平剂2和3效果最佳,同比国内通用性流平剂,加量可以更省,表面更为透亮,综合性价比更优;

2.相容性报告(表5)显示,也是流平剂2和3效果最好,其他有干扰;

3.与国外流平剂测试比较,流平剂5相容性可以,表面效果也最好,其他几款与之对比会有干扰。

8.结语

近年来, 国外粉末涂料助剂通过每一届的中国国际涂料及油墨展、粉末涂料年会以及各种专题讲座等方式推广, 粉末涂料助剂已进入大部分粉末涂料企业, 使我国粉末涂料助剂应用更加普及化, 粉末涂料助剂的应用水平已日趋成熟, 一些粉末涂料的质量更接近国际先进水平。特别近年来, 粉末涂料进口助剂空前繁荣, 有力地推进了国产粉末涂料助剂的开发和应用。现开发的流平剂,与国内通用型流平剂相比,加量更省,效果更加。与国外流平剂综合性能相当。




给您喜欢的文章打个分呗!
(0)

专家库申请

Expert Apply

申请须知:

  • 1、

    具有涂料行业多年技术从业经验

  • 2、

    对涂料技术及工艺应用具有独到的见解

  • 3、

    解读涂料行业政策、法规、标准

  • 4、

    热衷于分享化工涂料行业技术知识和丰富的行业经验

申请加入

您的申请已经提交
管理员会在1个工作日内审核

查看进度

专家信息审核未通过
请您返回修改相关资料,重新提交申请

重新申请

0

发布文章

0

文章点击

0

专家点击

发布技术文献 申请在线课堂开课
专家排行

申请加入专家库

*姓名: 姓名不能为空
*公司名称: 公司名称不能为空
*职位: 职位不能为空
*电子邮件:
*手机号码: 手机号码不能为空
*您所在行业:
化工
塑料
涂料
其他
请选择您所在行业
*您最擅长的领域:
1:
2:
3:
请选择您擅长的领域
*您的个人头像(要求200*200像素,或正方形涂料,小于1M,白底,免冠):
请上传您的个人头像
*自我介绍:
自我介绍不能为空 自我介绍不能超过1000字
《买化塑专家入驻协议》 请勾选《买化塑专家入驻协议》

关于我们 法律声明 联系我们 网站地图

COPYRIGHT©广州慧正云科技有限公司 www.ibuychem.com

粤ICP备18136962号增值电信业务经营许可证:粤B2-20201000