欢迎来到买化塑

先登录再浏览,享受更多权益

登录 免费注册

有机硅改性潜固化型单组分聚氨酯的制备及性能

李灿刚,邵春妍,常源智,田秀娟*,姬依婷

(山东科技大学材料科学与工程学院,山东青岛266590)

摘要:为提高单组分聚氨酯材料的低温柔顺性与疏水性,通过溶液聚合法,在潜固化型单组分聚氨酯预聚物中引入端羟基聚二甲基硅氧烷(PDMS-OH),制备了有机硅改性潜固化型单组分聚氨酯材料。通过红外光谱、动态力学分析和拉伸性能测试等研究方法,探讨了不同PDMS-OH添加比例对改性聚氨酯材料性能的影响。结果表明:随着PDMS-OH添加比例的升高,改性聚氨酯材料的阻尼因子升高,玻璃化转变温度向低温方向移动;虽然材料的拉伸强度有所下降,但断裂伸长率明显升高;接触角增大,吸水率下降。有机硅改性的单组分聚氨酯材料以其优异的低温柔顺性与疏水性,拓宽了材料的使用温域,改善了材料的使用条件。

关键词:聚二甲基硅氧烷;潜固化;单组分;聚氨酯

潜固化型单组分聚氨酯材料是以多元醇为软段,以异氰酸酯为硬段,以潜固化剂为扩链剂组成的液态混合物,在使用过程中潜固化剂水解释放出活性基团与异氰酸酯基团交联-扩链固化成膜。潜固化型单组分聚氨酯材料在固化过程中避免了异氰酸酯基团与水反应发泡的问题,操作简单,使用方便,在建筑防水、混凝土防护、木材粘接、结构件密封等行业应用广泛。但聚氨酯材料的主链结构中含有大量的氨基甲酸酯、脲基等易水解的极性基团,其耐水性能不佳。有机硅材料是以Si—O—Si为主链,以甲基、苯基等基团为侧基构成的兼具有机聚合物与无机材料特性的高分子材料,具有优异的低温柔顺性、耐热氧稳定性、疏水性等性能。通过有机硅改性聚氨酯材料,可以提高聚氨酯材料的低温柔顺性、耐水性、热稳定性、耐候性等,拓宽聚氨酯材料的使用条件。

有机硅改性聚氨酯的方法包括物理共混法与化学共聚法,由于有机硅的溶解度参数(7.5)和聚氨酯的溶解度参数(10.0)差异较大,相比于物理共混法,化学共聚法具有更好的相容性。Sheth等通过预聚体法以不同相对分子质量的聚二甲基硅氧烷(PDMS)为软段改性聚氨酯材料,发现PDMS相对分子质量对材料的形貌有明显的影响,相对分子质量越高,相分离程度越明显;杨凯等采用本体聚合法通过聚醚硅氧烷与聚氧化丙烯多元醇嵌段共聚改性聚氨酯弹性体,改性材料的疏水性、阻水透气性提升;杨真通过两步法制备有机硅改性聚氨酯弹性体,材料力学性能优异,耐热性提升;秦凤鸣通过化学共聚改性制备超疏水涂层,提高材料的防覆冰性能。大多研究者通过PDMS-OH化学共聚改性制备聚氨酯材料,研究PDMS-OH对材料微观结构及应用性能的影响,但是以PDMS-OH对潜固化型单组分聚氨酯材料的改性研究较少。

本研究以端羟基聚二甲基硅氧烷(PDMS-OH)与聚四氢呋喃多元醇(PTMG)为软段,以甲苯二异氰酸酯(TDI-80)为硬段,通过溶液聚合法合成端异氰酸酯预聚物,采用两步法制备有机硅改性潜固化型单组分聚氨酯材料,研究了潜固化型单组分聚氨酯材料的固化动力学,进一步研究了PDMS-OH的添加比例对潜固化型单组分聚氨酯材料机械强度、动态力学性能、疏水性等性能的影响。

1 实验部分

1. 1 主要原料

甲苯二异氰酸酯(TDI-80):工业级,巴斯夫;聚四氢呋喃多元醇(PTMG-1000,Mn=1 000):工业级,日本三菱化学株式会社;端羟基聚二甲基硅氧烷(PDMS-OH,Mn=1 000):工业级,济宁中坚化工有限公司;聚氨酯催化剂(BCAT-20A):工业级,广州优润合成材料有限公司;120#溶剂油:工业级,青岛海力加化学新材料有限公司;潜固化剂Incozol 4:工业级,Incorez公司。

1. 2 样品制备

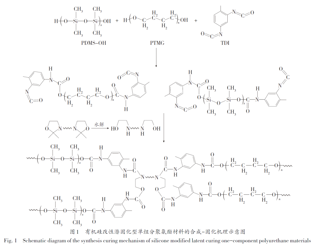
采用两步法制备有机硅改性潜固化型单组分聚氨酯材料,其合成-固化机理见图1。

1.png

1. 2. 1 预聚物合成

按表1 配方分别将PTMG、PDMS-OH 加入烧瓶中,升温至120~130 ℃,在真空度0.010~0.015 MPa条件下脱水2.0~2.5 h。通入氮气,加入10 g 120#溶剂油,温度降至50~60 ℃;加入25 g TDI-80,升温至80~85 ℃,保温反应2. 0 h,得到预聚物。

2.png

1. 2. 2 改性聚氨酯材料的制备

将预聚物降温至50~60 ℃,加入15.2 g Incozol 4、0.11 g BCAT-20A,混合均匀得到有机硅改性潜固化型单组分聚氨酯材料。将制备的有机硅改性潜固化型单组分聚氨酯材料刮涂在涂有脱模剂的铝合金模具中,在恒温恒湿实验箱(温度为23 ℃、相对湿度为50%)养护72 h后,将固化的改性单组分聚氨酯材料从模具中剥离,翻转后继续在恒温恒湿实验箱养护96 h,制得测试材料。其中,按照PDMS-OH占软段的质量分数(以PDMS-OH 与PTMG 总质量计)为0、5%、10%、15%、20%、25%、30%制备的样品分别编号为PU-1~PU-7。

1. 3 测试与表征

使用梅特勒托利多公司的DSC1型差示扫描量热仪测试材料的固化动力学参数。在氮气氛围中,温度范围为25~275 ℃,升温速率分别为5 K/min、10 K/min、15 K/min、20 K/min。

使用赛默飞世尔科技公司的Nicolet6700傅立叶变换红外光谱仪扫描材料的红外光谱。测试范围400~4 000 cm-1,分辨率为4 cm-1,扫描次数32次。

使用梅特勒托利多公司的DMA1 型动态机械分析仪测试材料的动态热机械性能。扫描范围?60~60 ℃,升温速率2 ℃/min,频率10 Hz。

使用台湾高铁科技股份有限公司的AI-7000s拉力试验机按照GB/T 528—2009 测试材料的力学性能。使用哑铃型I型裁刀制备5个测试样片,拉伸速率为500 mm/min,测试结果取中位数。

按照GB/T 23446—2009《喷涂聚脲防水涂料》7.14规定的测试方法测试材料的吸水率。

使用上海中晨数字技术装备有限公司的JC2000D1型接触角测量仪测试材料的水接触角。

2 结果与讨论

2.1 固化动力学

潜固化型单组分聚氨酯材料的固化过程分为潜固化剂水解与交联固化两步,通过差示扫描量热仪(DSC)表征固化反应中焓的变化,计算材料的固化动力学参数及固化动力学方程,可为材料在工程应用过程中的储存周期及固化程度提供参考。测试PU-1样品在不同升温速率下的热力学参数,结果见图2和表2。从图2及表2可以发现,随着升温速率增加,固化反应放热峰向高温一侧移动,这是由于传热产生的温差造成的。

3.png

4.png

选用的动力学方程Kissinger 方程、Crane简化方程如式(1)、式(2)所示。

5.png

根据表2中的数据分别以ln(β/Tp2)、lnβ 为纵坐标,以1/Tp为横坐标作图拟合得到图3 中的2 条直线。

由图3 拟合的直线方程计算出Ea=78.82×103 J/mol,指前因子A=1.73×108 s-1。可以发现活化能(Ea)较高,这说明潜固化型单组分聚氨酯材料在室温环境下的贮存稳定性高。同时求得反应级数n=0.90近似于1,这与DSC曲线只有1个放热峰相一致。

6.png

将上述所得Ea、A、n 分别代入非等温条件下常用的Arrhenius方程[式(3)]和动力学方程[式(4)]中,进而求出固化反应速率常数和固化反应动力学方程。

7.png

2. 2 FI-IR 分析

图4为有机硅改性潜固化型单组分聚氨酯材料的红外光谱。

从图4(a)分析发现,3 160 cm-1~3 400 cm-1 范围为氨基甲酸酯、取代脲基、酰胺基中N—H伸缩振动吸收峰,2 939 cm-1、2 849 cm-1 附近为PTMG 主链的—CH2—、PDMS-OH的侧—CH3的不对称与对称伸缩振动吸收叠加峰,对PU-1材料,2 939 cm-1、2 849 cm-1附近为PTMG主链的—CH2—的不对称与对称伸缩振动吸收峰,1 710 cm-1附近为氨基甲酸酯、取代脲基、酰胺基中C=O 伸缩振动吸收峰,1 533 cm-1 附近为C—N的伸缩振动吸收峰,1 226 cm-1附近为氨基甲酸酯—C—O—振动吸收峰,1 097 cm-1 附近为PTMG主链的C—O—C、PDMS-OH 主链的Si—O—Si 伸缩振动吸收叠加峰,对PU-1 材料,1 097 cm-1 附近为PTMG 主链的C—O—C伸缩振动吸收峰。在2 280~2 240 cm-1范围内没有明显的—NCO伸缩振动产生的吸收峰,表明—NCO基团己完全反应。806 cm-1附近为Si—CH3 伸缩振动吸收峰,观察图4(b)发现,PU-1不含PDMS链段,在806 cm-1附近无吸收峰,随着PDMS-OH添加比例的升高,吸收峰的强度增加,表明PDMS链段已接入单组分聚氨酯结构中。

8.png

2. 3 动态力学性能分析

图5为有机硅改性潜固化型单组分聚氨酯材料阻尼因子的测试结果,详细数据列于表3。

9.png

10.png

分析图5 及表3 中阻尼因子的数据发现,随着PDMS-OH 添加比例的升高,改性聚氨酯材料的tanδmax由0.30上升至0.41,阻尼温域变宽。这是由于随着PDMS-OH比例的增加,软段结构中侧—CH3数量增大且结构对称,在交变应力作用下,侧—CH3在链段与分子链运动时的内摩擦作用明显,应变对应力响应的滞后效应明显,阻尼性能提升。

分析表3中数据还可发现,改性聚氨酯材料的玻璃化转变温度(Tg)随着PDMS-OH添加比例的升高,由7.5 ℃下降至?21.5 ℃。这是由于PDMS-OH 的—Si—O—Si—的键长长、键角大,主链柔顺性好;侧—CH3结构对称且位阻小,内旋转活化能低,链段的Tg低;随着PDMS-OH 添加比例的升高,材料的柔顺性增加,Tg向低温方向移动。

11.png

图6为有机硅改性潜固化型单组分聚氨酯材料的储能模量与损耗模量测试曲线。

观察图6 可以发现,改性聚氨酯材料的储能模量、损耗模量在低温环境下均随着PDMS- OH添加比例的升高先下降后上升,PDMS-OH添加比例为10%时,低温环境下的储能模量最低;当PDMS-OH添加比例为15%时低温环境下的损耗模量最低。这可能是由于PDMS-OH 与PTMG 的相容性造成的,PTMG软段结构结晶性强,易形成微相分离结构,如图7(a)所示;当PDMS-OH链段含量较低时,PDMS-OH掺杂于PTMG结构中破坏了软段相区的结晶性,进一步破坏了材料微相分离结构,如图7(b)所示,造成储能模量与损耗模量的下降;随着PDMS-OH添加比例的升高,PDMS-OH与PTMG形成各自独立的软段微相区,有助于形成微相分离结构,如图7(c)所示,储能模量与损耗模量升高。

12.png

2. 4 力学性能

图8为有机硅改性潜固化型单组分聚氨酯材料的应力-应变曲线,拉伸强度与断裂伸长率见表4。

13.png

14.png

从图8及表4可以发现,改性聚氨酯材料的拉伸强度、100% 定伸应力以及300% 定伸应力均随着PDMS-OH 添加比例的升高而下降。拉伸强度下降了41.1%,100%定伸应力下降了68.0%,300%定伸应力下降了83.9%。这是由于PDMS-OH 结构极性低,一方面分子间作用力弱,降低了改性聚氨酯材料的内聚能;另一方面与PTMG相容性差,结构的微相分离程度降低导致材料的强度下降。改性聚氨酯材料的断裂伸长率随着PDMS-OH添加比例的升高而增加。这是由于PDMS-OH的主链柔顺性好,随着材料中Si—O—Si键比例升高,提高了软段结构的柔顺性,材料的断裂伸长率提高。

2. 5 接触角与吸水率

有机硅改性潜固化型单组分聚氨酯材料的接触角与吸水率测试结果如表5所示。

15.png

分析表5数据发现,随着PDMS-OH添加比例的升高,改性聚氨酯材料接触角增加,吸水率降低,接触角由81°上升至109°,升高了34.6%,吸水率由2.75% 下降至1.92%,下降了30.2%。这是由于PDMS-OH结构中非极性的侧甲基对Si—O—Si链段具有很好的屏蔽作用,造成PDMS-OH结构表面张力低且易向改性聚氨酯材料表面迁移,从而在改性聚氨酯材料表面形成疏水层,阻止水分子进入材料内部,降低材料的吸水率,同时降低材料的表面张力,提高材料的水接触角。

3 结 语

通过端羟基聚二甲基硅氧烷共聚改性潜固化型单组分聚氨酯材料,研究了PDMS-OH的添加比例对材料性能的影响。结果表明PDMS-OH添加比例的提高,增大了改性聚氨酯材料的阻尼因子,这是由于改性材料中Si—CH3含量升高增大了分子链运动的内摩擦作用;而PDMS-OH主链的柔顺性又引起了改性聚氨酯材料的玻璃化转变温度向低温方向偏移。分析发现聚氨酯材料的断裂伸长率明显升高,相应的拉伸强度有所下降,应该是PDMS-OH 分子间作用力弱且降低了材料的微相分离程度造成的;通过水接触角与吸水率的测试发现,改性聚氨酯材料的吸水率呈下降趋势,而水接触角明显升高,这是由PDMS-OH 的疏水性引起的。PDMS-OH 添加比例的变化引起改性聚氨酯材料微相分离程度、表面张力等性能的改变,从而对材料的动态力学性能、机械强度等性能产生重要影响。有机硅化学改性可提高聚氨酯材料的低温环境适应性与耐水性,可满足聚氨酯材料在严寒环境下的防水、密封或黏结等应用需求,为拓宽聚氨酯材料的应用领域提供借鉴参考。


作者:田秀娟(1978—),女,博士,高级实验师,主要从事聚合物的改性研究。

文章来自《涂料工业》2024年第1期




给您喜欢的文章打个分呗!
(0)

专家库申请

Expert Apply

申请须知:

  • 1、

    具有涂料行业多年技术从业经验

  • 2、

    对涂料技术及工艺应用具有独到的见解

  • 3、

    解读涂料行业政策、法规、标准

  • 4、

    热衷于分享化工涂料行业技术知识和丰富的行业经验

申请加入

您的申请已经提交
管理员会在1个工作日内审核

查看进度

专家信息审核未通过
请您返回修改相关资料,重新提交申请

重新申请

0

发布文章

0

文章点击

0

专家点击

发布技术文献 申请在线课堂开课
专家排行

申请加入专家库

*姓名: 姓名不能为空
*公司名称: 公司名称不能为空
*职位: 职位不能为空
*电子邮件:
*手机号码: 手机号码不能为空
*您所在行业:
化工
塑料
涂料
其他
请选择您所在行业
*您最擅长的领域:
1:
2:
3:
请选择您擅长的领域
*您的个人头像(要求200*200像素,或正方形涂料,小于1M,白底,免冠):
请上传您的个人头像
*自我介绍:
自我介绍不能为空 自我介绍不能超过1000字
《买化塑专家入驻协议》 请勾选《买化塑专家入驻协议》

关于我们 法律声明 联系我们 网站地图

COPYRIGHT©广州慧正云科技有限公司 www.ibuychem.com

粤ICP备18136962号增值电信业务经营许可证:粤B2-20201000