欢迎来到买化塑

先登录再浏览,享受更多权益

登录 免费注册

改性聚苯胺水性陶瓷涂层的高温防腐性能研究

肖利容  邓天博 黄玉儿

(美的集团中央研究院,广东佛山528300)

1引言

苯胺(PANI)作为一种导电聚合物,是由共轭π键构成的、经化学或电化学的方式进行掺杂后由绝缘体转变为半导体或导体的一类有机物。因其独特的电化学性能、环境稳定性以及可调节的物化性质而备受关注。通常认为中间氧化态(EB)(图1)时具有优异的可掺杂调变性能,通过异质掺杂后可使其向EB盐转变,可成为最稳定的导电掺杂态(ES态)。通过亲水改性可有效改善溶解性差、流变性能不良等问题,同时还能获得具有多种功能性的复合材料。

1.png

图1  PANI的EB态结构式

聚苯胺(PANI)的主要防腐机理为物理屏蔽和阳极保护作用,图2为PANI的防腐蚀机理示意图,物理屏蔽即PANI直接阻碍腐蚀性物质及氧气与金属基底的接触。在腐蚀环境中,由于PANI具有良好的导电性和电化学活性,能够通过阳极氧化反应快速恢复金属表面的钝化层。即PANI的电位高于金属基材的氧化电位而低于氧的还原电位,金属基底被氧化所释放出的电子可使ES态的导电PANI被还原,而还原态的PANI可将电子传递给氧气,自身再被氧化为ES态,PANI如此反复进行的氧化还原反应可加速PANI与金属界面处钝化层的形成,该过程即为PANI的阳极保护过程。另一方面,通过亲水改性后的PANI,不但可以改善PANI在水性涂料体系中的相溶性,其掺杂的异质基团还具有缓蚀作用,可以在金属表面形成保护层,进一步增强防腐效果。

2.png

图2  PANI的防腐蚀机理示意图

蒙脱土(MMT)是一种层层状硅酸盐矿物,属于蒙脱石族矿物,它的化学结构由两层硅氧四面体夹一层铝氧八面体组成,形成典型的2:1型层状结构。层与层之间通过范德华力和阳离子键连接,层间距在1-2nm,可让聚合物单体轻松插入,有较高的阳离子交换容量、较好的溶胀性和吸附能力。以它为载体,通过原位合成制备的纳米级复合材料,可提升材料的力学性能和热稳定性,同时利用蒙脱土的自悬浮性能,改善材料料在基体树脂中的均质分散性。

2 实验部分

2.1 改性聚苯胺复合材料的制备

2.1.1 制备方法

采用化学原位合成方法一步法制备复合材料,操作简单易实现,具体如下:

(1)取蒙脱土(MMT)10g与125mL H2O按混合,超声分散1 h得到悬浮液;

(2)分别取0.1 mol亲水基团十二烷基磺酸(DBSA)和苯胺加入250 mL H2O中混合均匀;

(3)将(1)中悬浮液水浴加热到80 ℃,将(2)中混合液按2 mL/min速度滴加,恒温搅拌反应3 h,之后在冰盐水中冷却至2 ℃;

(4)取0.1 mo/L 的过硫酸铵125mL滴加入(3)中,反应5 h;

(5)用乙醇和水进行离心洗涤,直至溶液无色,40 ℃干燥48 h得到暗绿色复合材料(D-PANI@MMT),研磨后得到复合材料粉体。

2.1.2 实验原料

本文实验所需主要原料及规格见表1。

表1 主要实验原料

3.png

2.1.2 仪器设备及用途

本文测试所需仪器及用途见表2。

表2 主要实验仪器及用途

4.png

2.2 水性陶瓷涂层的制备

选用含铁量≥99.5%的冷轧钢板作为金属基材,通过喷砂机进行表面打磨处理,要求处理后表面粗糙均匀,无光泽, 备用。

(1)耐高温防腐水性陶瓷涂层的底漆制备工艺如下:

①按质量比分别取硅溶胶A(10份)、硅溶胶B(30份)、铬黑(10份)、氧化铝(10份)、云母(3份),加入直径约3mm的玻璃珠30份,在熟化机上滚动熟化2 h;

②取20份复合材料D-PANI@MMT加入①中,继续滚动熟化0.5h;

③取30份甲基三甲氧基硅烷、2份偶联剂和0.5份甲乙酸(1:1混合),加入②中进行水解反应3h;

④取5份异丙醇、1份硅油和1份流平剂加入③中熟化2h。

(2)耐高温防腐水性陶瓷涂层的面漆制备工艺如下:

①按质量比分别取硅溶胶A(12份)、硅溶胶B(36份),加入直径约3mm的玻璃珠30份,在熟化机上滚动熟化2h。

②取40份甲基三甲氧基硅烷和0.4份甲乙酸(1:1混合),加入②中进行水解反应3h;

③取7份异丙醇、2份硅油和1份流平剂加入③中熟化2h。

(3)将打砂处理好的冷轧钢板固定,分别将底漆和面漆过滤后装入1-1.5 mm喷嘴的两支喷枪,底漆喷涂厚度约30 um,面漆喷涂厚度约15 um;

(4)将喷涂好的样板在120℃下表干5min,之后在280℃下烘干15 min,得到最终耐高温防腐水性涂层。

3 结果与讨论

3.1 改性聚苯胺复合材料的表征

3.1.1 热重分析

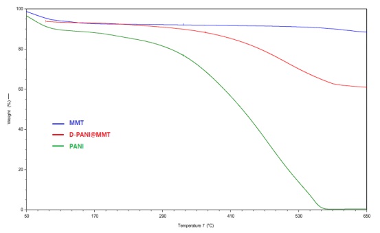
对 PANI、MMT 以及 D-PANI@MMT进行综合热分析,其热失重变化如图3所示。可以看出,PANI从室温升温至200℃的阶段,有5%左右的失重率,主要是材料表面的游离水和残留的苯胺小分子受热脱出;从300℃-600℃阶段, PANI的从285℃左右开始分子链断裂,逐步到氢氧键结构骨架断裂,直至全部氧化,失重率达95%。MMT从室温升温至100℃的阶段,也有5%左右的失重率,主要是材料表面的游离水受热脱出,在550℃-650℃有8%左右的失重率,主要是蒙脱土层间的结构水受热后从层间逸出,造成失重。D-PANI@MMT从室温至 100℃失重率约3.6%,仍然为失去游离水脱出,从285℃-600℃之间失重率约30%,可认为是负载在MMT上的PANI不断分解直至完全和少量蒙脱土层间的结构水脱出所致。 综上,热重曲线的失重温度与重量证明PANI的存在,苯胺在MMT的层间发生了聚合反应。

5.png

图3  样品热重曲线

3.1.2 形貌分析

对MMT 以及 D-PANI@MMT进行 SEM 分析,图4 显示MMT的颗粒形貌比较均匀,放大后可以看到其表面的明显的层状结构,与理论报道的片层结构一致。图5中显示原位合成的D-PANI@MMT的颗粒明显变大,且表面及片层间有明显的聚合物接入,表明PANI在MMT上负载良好。

6.png

图4  MMT的SEM图

7.png

图5  D-PANI@MMT的SEM图

3.2 涂层性能表征

3.2.1 膜厚及针孔缺陷测试

采用湿海绵检漏仪对涂层进行微观针孔检测,结果表明当涂层膜厚<30 um时,存在明显针孔缺陷,通过盐雾测试可以看出针孔位置会率先出现锈点。当膜厚≥30um后,针孔缺陷消失且盐雾测试10天后无明显锈点。但实验表明当膜厚>45um后,涂层在烘烤干燥后会出现爆裂现象,盐雾测试看到在爆裂位置出现整片锈点。因此,后续确定涂层最佳喷涂膜厚在30-45um之间。

8.png

图6 涂层不同膜厚的防腐效果图

3.2.3 常温/高温防腐性能测试

常温盐雾测试:将制好的样品的背面(未喷涂层)及涂层面边缘用密封胶带封闭,按要求放入符合国标要求的中性盐雾箱,每24小时取出记录涂层表面锈点情况,连续测试240小时。涂层表面未出现明显锈点判定为合格。

常温盐雾测试表明(图7)低碳钢裸钢样板在24小时之内就会发生大面积腐蚀。未添加D-PANI@MMT涂层样品在放置48小时后,表面出现较多点锈,无明显防腐性能。添加D-PANI@MMT涂层样品的240小时后,表面无任何锈点且表面光泽度良好,说明添加了D-PANI@MMT防腐填料的涂层具有优异的防腐性能。

9.png

图7 常温中性盐雾测试前后

高温盐雾测试:将制好的样品放入设置恒温为400℃的马弗炉,连续烧20小时后冷却至室温,按照常温盐雾操作放入中性盐雾箱,每24小时取出记录涂层表面锈点情况,连续测试240小时。涂层表面未出现明显锈点判定为合格。

高温盐雾测试表明(图8)低碳钢裸钢样板和未添加D-PANI@MMT涂层样品在400℃连续烧20小时400连续高温后,再放入盐雾箱会在24小时之内发生大面积腐蚀,无任何耐高温防腐性能。而添加D-PANI@MMT涂层在样品在400℃下连续烧20小时的,表面光泽度略有下降,这是由于在高温灼烧下,涂层中的硅油组分挥发造成。再放入盐雾箱240小时后,涂层表面无任何锈点,进一步说明添加了D-PANI@MMT防腐填料的涂层在高温高湿环境下仍具有优异的防腐性能。

改性聚苯胺水性陶瓷涂层,有效改善了聚苯胺材料在水性涂料中的均匀分散问题, 同时可提升材料的力学性能和热稳定性,使得涂层在高温下使用展现出良好的热稳定性和防腐性能。

10.png

图8 高温中性盐雾测试后

3.2.2 电化学腐蚀性能测试

配制浓度为5 wt.% (质量分数)的NaCl溶液模拟海洋腐蚀环境,取添加/未添加D-PANI@MMT涂层样品作为工作电极(测试面积为1cm2)、炭棒电极为参比电极,利用自带铂对电极的平板腐蚀电解池进行电化学测试,以低碳钢裸钢作为对比。每次测试之前先进行开路电位(OCP)稳定性确认,之后再进行电化学阻抗谱(EIS)及极化曲线测试。

分别测试各样品的初始状态和NaCl溶液浸泡10天后的电化学阻抗谱(EIS),对比分析各涂层的防腐性能。图9显示了各涂层浸泡前后的Nyquist图谱,可以看到添加D-PANI@MMT的涂层样板的容抗弧半径在浸泡10天后虽然稍有变小,但仍然维持在较大范围;未添加D-PANI@MMT的涂层样板的容抗弧半径在浸泡10天后迅速缩小,说明涂层防腐性能快速下降;而低碳钢裸样板浸泡前后表明其极易发生腐蚀。

11.png

图9 涂层浸泡10天前后的Nyquist图

图10显示了各涂层浸泡前后的Bode图谱,其中在阻值图中可以看到,添加D-PANI@MMT的涂层样板在浸泡10天后,阻抗值在中低频区域有所下降,但仍然维持在108以上的数量级,说明防腐性能依然优异;未添加D-PANI@MMT的涂层样板在浸泡10天后,阻抗值在全频区都出现了大幅度下降,说明涂层防腐性能迅速下降。

在相位角图中可以看出,随着浸泡时间的增加,添加D-PANI@MMT涂层样品的相位角整体稍微向小角度移动,在中低频区域更明显,说明涂层的电阻性质有下降,电容性质增强,与阻值图结论一致;未添加D-PANI@MMT的涂层样板在浸泡10天后,相位角整体向小角度移动,且幅度较大,与阻抗值快速下降结论相符合。

12.png13.png

图10 涂层浸泡10天前后的Bode图(a-阻值图谱,b-相位角图谱)

3.3烤箱应用研究

将添加D-PANI@MMT的涂层进行烤箱整机长期防腐寿命验证,结果表明整机在完成370个循环使用周期后,观察涂层表面无任何锈点,无脱落现象(图11所示)。

14.png

图11 长运370个循环后烤箱涂层

将完成370个循环后的烤箱腔体面板放入盐雾箱进行防腐测试,10天后观察涂层锈点情况,图12表明在进行盐雾测试后,添加D-PANI@MMT的涂层未出现明显锈点,说明该涂层在烤箱上的实际应用,显示出优异的防腐性能。

15.png

图12 长运涂层10天盐雾测试后

4 结论与展望

本文以十二烷基苯磺酸(DBSA)对聚苯胺(PANI)进行水性改性,同时以蒙脱土(MMT)为载体进行复合,有效改善了聚苯胺在水性涂料体系中的分散均匀性,制备的聚苯胺类复合涂层对钢材的腐蚀防护取得了理想的效果。通过常温和高温盐雾、电化学测试表明,涂层在400℃下连续烧20小时后,仍能保持盐雾性能>240小时,阻抗值>108,显示良好的防护效果。在烤箱整机上验证测试370循环后再盐雾测试10天,涂层表面无明显锈点。

聚苯胺(PANI)本身具备优异的防腐性能,但因其疏水不易溶的物理性质,制约了在产业化大规模的应用,后续随着聚苯胺(PANI)的改性以及二元及多元复合研究的深入,有望实现工业化应用。


本文来源:《2025绿色涂料发展论坛暨第23届水性技术年会》论文集




给您喜欢的文章打个分呗!
(0)

专家库申请

Expert Apply

申请须知:

  • 1、

    具有涂料行业多年技术从业经验

  • 2、

    对涂料技术及工艺应用具有独到的见解

  • 3、

    解读涂料行业政策、法规、标准

  • 4、

    热衷于分享化工涂料行业技术知识和丰富的行业经验

申请加入

您的申请已经提交
管理员会在1个工作日内审核

查看进度

专家信息审核未通过
请您返回修改相关资料,重新提交申请

重新申请

0

发布文章

0

文章点击

0

专家点击

发布技术文献 申请在线课堂开课
专家排行

申请加入专家库

*姓名: 姓名不能为空
*公司名称: 公司名称不能为空
*职位: 职位不能为空
*电子邮件:
*手机号码: 手机号码不能为空
*您所在行业:
化工
塑料
涂料
其他
请选择您所在行业
*您最擅长的领域:
1:
2:
3:
请选择您擅长的领域
*您的个人头像(要求200*200像素,或正方形涂料,小于1M,白底,免冠):
请上传您的个人头像
*自我介绍:
自我介绍不能为空 自我介绍不能超过1000字
《买化塑专家入驻协议》 请勾选《买化塑专家入驻协议》

关于我们 法律声明 联系我们 网站地图

COPYRIGHT©广州慧正云科技有限公司 www.ibuychem.com

粤ICP备18136962号增值电信业务经营许可证:粤B2-20201000