欢迎来到买化塑

先登录再浏览,享受更多权益

登录 免费注册

电泳槽液沉淀性检测及管控预防

浩力森应用工程中心 周舟

为了保持电泳槽液均匀混合,防止颜料在槽内或被涂物的水平面上沉淀,电泳槽液需要处于24h不间断搅拌循环状态,因故障而停止的搅拌时间不应超过2-4小时。分散均匀的电泳槽液状态是保证电泳涂装质量的前提条件。

11.png

在电泳涂装生产线的实际运行过程中,由于原材料质量、工艺设计、设备状态及管控等多种因素的交织影响,槽液沉淀现象时有发生。不仅难以保证电泳涂膜质量,还会导致涂料利用率大幅下降。电泳槽液发生沉淀的一个很重要因素就是电泳产品自身的沉淀性能,今天就简述沉淀性的测试方法,剖析什么因素导致电泳槽液沉淀以及我们能够采取怎样的应对措施进行预防管控。

沉淀性测试方法

1.范围及说明

沉淀性测试是测量电泳槽液在静置一定时间后的沉淀量,分为量筒计量法和固体份计量法。

2.规范性引用文件

HG/T3334-2012《电泳涂料通用试验方法》。

3.材料和仪器

待测电泳槽液,透明胶带,铝制表面皿,恒温干燥箱,量筒(250 mL、100mL),分析天平(感量0.0001g),钢尺(分度0.5mm)。

4.测试方法

(1)量筒计量法:在250 mL量筒(底部应为平面,其他合适的容器也可以)中加人250 mL(或高度为22cm)的槽液,用保鲜膜封口,放置在(23士2)℃条件下,使用钢尺测量静置2h、4h、8h、24h、48h后的底部沉淀物的高度(mm);

 一般要求24h沉淀高度≤2mm

12.png

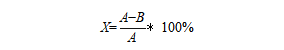
(2)固体份计量法:用容量为100mL的量筒取100mL的槽液,用保鲜膜封口,放置在(23±2)℃条件下,静置2h、4h、8h、24h、48h,分别在不同静置时间段从上部取表面4mL槽液并测试固体分(需摇匀后再检测),根据计算公式计算沉降性(X):

13.png

式中,A为原槽液固体份;B为静置后的固体份。

 一般要求24h沉降性≤5%;

导致电泳槽液沉淀的因素

1.串槽污染电泳槽液

前处理碱性脱脂液、磷化液和磷化渣等串槽污染会导致电泳槽液pH值异常升高,发生化学反应,破坏槽液的稳定性,产生絮凝络合物或沉淀物;

2. 电泳纯水水质不达标

电泳所使用的新鲜纯水pH值过高(超过7.0)、电导率过高含有杂质离子(如钠离子、氯离子等)进入槽液后,会与带电树脂发生反应,形成络合物或沉淀物,破坏漆液稳定性。

3.电泳槽液温度过高

槽液温度过高会增加溶剂挥发加速槽液老化,导致凝聚沉淀。

4.槽液循环不良

电泳槽体循环管路存在死角、循环管路和喷嘴堵塞,循环状态不良使漆液局部沉淀;循环泵转速过快(如使用2900RPM转速电机)剪切力过大,造成电泳涂料离子被破坏产生老化沉淀。在生产过程中需确保循环泵正常运转,槽液的循环搅拌良好,避免搅拌死角形成,从而产生沉淀。

14.png

5.溶剂含量偏低

溶剂含量偏低,在正常生产时,有机溶剂会持续消耗,随着补漆工作的进行能得到及时的补充,但是如果生产不正常或温度过高导致溶剂消耗过快又得不到及时的补充,导致溶剂含量降低至下限以下时,会使得槽液中的树脂凝聚或沉淀。

6.固体份异常

固体份异常也会导致沉淀情况的产生:固体分过高时,密度过高、色浆组分容易发生沉淀;固体分过低,分散均匀性变差也会发生沉淀。

7.颜基比异常

加料比例不在工艺范围内导致颜基比过高也会导致沉淀情况的产生。

8.原漆储存不当或过期

原漆储存条件不当(如高温、暴晒)会导致色浆反粗或乳液沉淀,加入电泳槽后发生沉淀现象。

9.槽液更新慢及生细菌

  槽体过大,生产量较低,出现槽液更新慢,出现槽液老化和生细菌等情况将导致电泳槽液的沉淀和颗粒情况。

预防电泳槽液沉降的管控措施

1. ?优化前处理工序管控和纯水监测

加强前处理工序的管控,合理的悬挂方式减少工序间串槽带入电泳槽液的异物。严格控制新鲜纯水和泳前纯水杂质含量,做到常检测常更换。

2.?加强温度管理

设定温度报警系统,避免槽液温度剧烈波动,槽液温度尽量保持在适应范围内运行,尤其要避免长时间高温运行。

3.?改善循环系统

定期检查循环泵、循环管路工作状态,确保搅拌均匀。可以通过加大循环量,调整喷嘴方向,对槽体死角部位进行有效循环。

4.监测槽液参数

要经常检测监控固体分、pH值、电导率、溶剂含量、颜基比、细菌滋生等电泳参数,保持槽液状态良好;

5.?规范存储管理?

色浆和乳液应在5-35℃相对稳定的环境下储存,不应高温暴晒和低温冷冻。按照先进先出的原则使用,在保质期内及时使用。

6.选用抗沉降性能好的电泳涂料。

[1] 测试方法参考HG/T3334-2012《电泳涂料通用试验方法》。





给您喜欢的文章打个分呗!
(0)

专家库申请

Expert Apply

申请须知:

  • 1、

    具有涂料行业多年技术从业经验

  • 2、

    对涂料技术及工艺应用具有独到的见解

  • 3、

    解读涂料行业政策、法规、标准

  • 4、

    热衷于分享化工涂料行业技术知识和丰富的行业经验

申请加入

您的申请已经提交
管理员会在1个工作日内审核

查看进度

专家信息审核未通过
请您返回修改相关资料,重新提交申请

重新申请

0

发布文章

0

文章点击

0

专家点击

发布技术文献 申请在线课堂开课
专家排行

申请加入专家库

*姓名: 姓名不能为空
*公司名称: 公司名称不能为空
*职位: 职位不能为空
*电子邮件:
*手机号码: 手机号码不能为空
*您所在行业:
化工
塑料
涂料
其他
请选择您所在行业
*您最擅长的领域:
1:
2:
3:
请选择您擅长的领域
*您的个人头像(要求200*200像素,或正方形涂料,小于1M,白底,免冠):
请上传您的个人头像
*自我介绍:
自我介绍不能为空 自我介绍不能超过1000字
《买化塑专家入驻协议》 请勾选《买化塑专家入驻协议》

关于我们 法律声明 联系我们 网站地图

COPYRIGHT©广州慧正云科技有限公司 www.ibuychem.com

粤ICP备18136962号增值电信业务经营许可证:粤B2-20201000